Skammed

A Public Notice

Report Details

Breach of Contract Reported On: 17-Nov-2025
Reported Party
  • Offender : Business City : New York
  • Name : Skyline Capital State : New York
  • Username / Alias 1 : Thomas Dawkins Country : United States
  • Username/Alias 2 : Andrew Watts
  • Username/Alias 3 : Alian Rousseau
  • Email : tho***@s****.com Zipcode : 10005
  • Contact No : (516) **-****
Transaction Details
  • Transaction Venue : Finance & Insurance
  • Business Name : Tennessee Homes, LLC
  • Date of Transaction : 20-Oct-2025
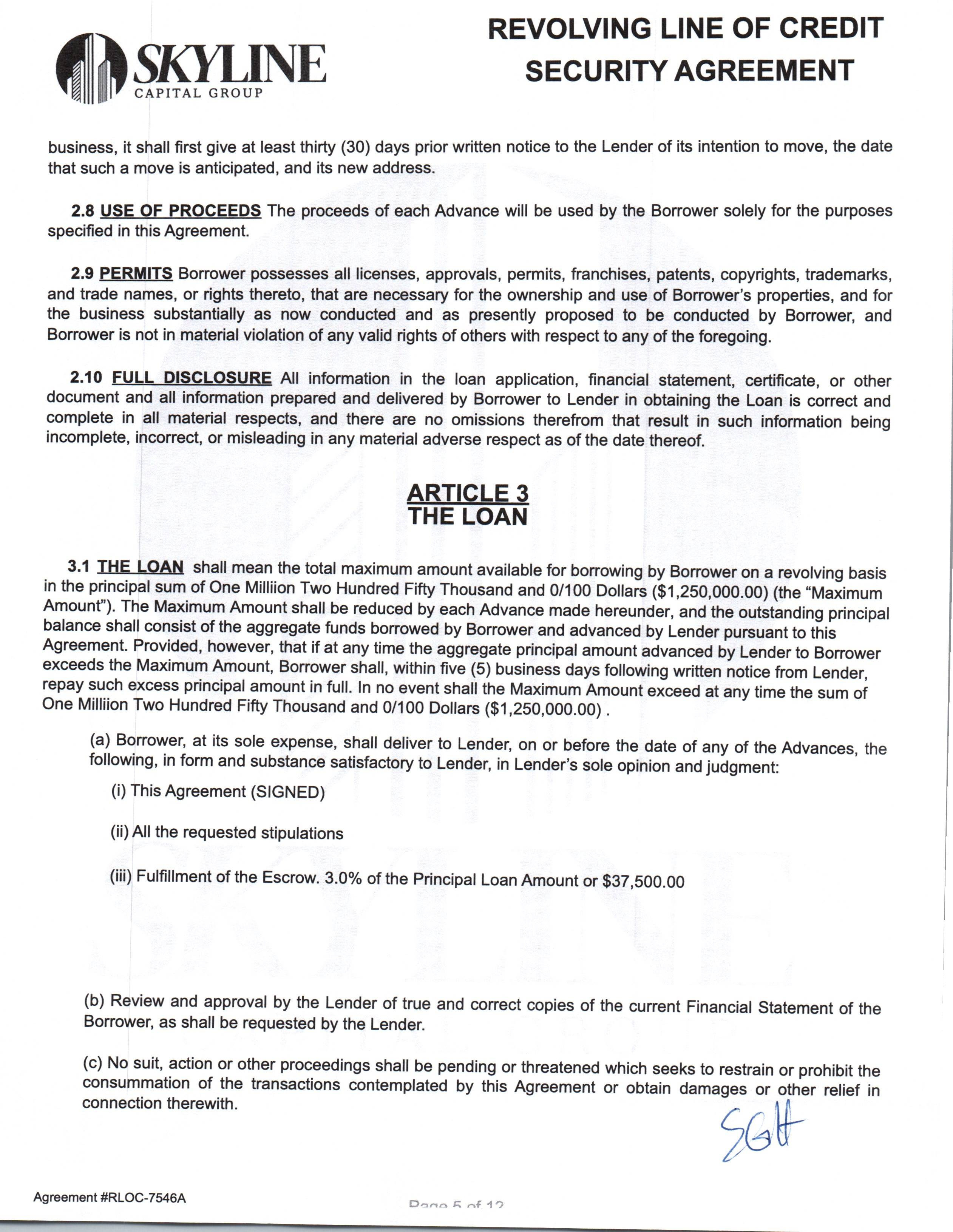
  • Transaction Value : $37,500.00
  • Estimated Loss Range : $2,500 - $5,000+
Summary of Dispute

Skyline Capital Group assured me of a Line of Credit for my business in the amount of $1,250,000.00 but I was required to purchase a surety bond from Fortuna Venture Holdings for $37,500 that somehow protects the investors putting up the money for the LOC. I paid for the surety bond, but never received the LOC. They sent a portal login that shows the $1,250,000.00 but the money cannot be transferred to my checking account. It keeps saying "pending".

Summary of Transaction Venue's Actions

They stole my $37,500 and never provided my LOC. No one will answer their phone nor respond to emails now.

Available media
Share this Report:
Discourage bad business!

 

Report your experience NOW!
Skammed

Not yet registered?

All fields are mandatory

By answering the registration test, I accept the Terms.
Type the result 4 + 1 =